Hi, I have found two potential errors in the documentation.
(1) in the doc of pair_style buck6d/coul/gauss/dsf and /long (pair_style buck6d/coul/gauss/dsf command — LAMMPS documentation) the energy of dispersion damped Buckingham potential reads

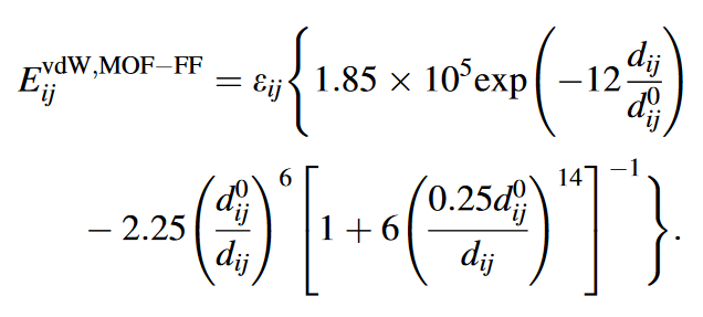
However, in the cited paper (Schmid) the vdW energy reads (formula 3 in that paper)

It seems that the damping term should be [1+Dr^(-14)]^-1 (-14 instead of 14). If I understand it correctly, the damping term is introduced to avoid the energy going to -∞ when r → 0, so r^(-14) would make sense.
(2) in the pair_style colloid page (pair_style colloid command — LAMMPS documentation) there is a paragraph saying
When used in combination with pair_style yukawa/colloid, the two terms become the so-called DLVO potential …
The link should points to pair_style yukawa/colloid command — LAMMPS documentation instead.
Thanks in advance for the efforts in maintaining the documentation!