Hi LAMMPS users,
I was wondering, which final formula is actually used in LAMMPS for evaluating the electrostatic energy when using the Wolf method. The formula for E_i provided in the LAMMPS documentation looks a bit like (5.1) in the cited paper (apart from the additional summation over i), but with the important difference that there is no cutoff in (5.1), as it is still equivalent to the total Coulomb energy of N charges, (1.1).
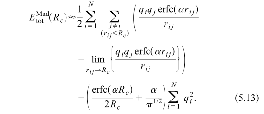
As mentioned in the documentation, the next step is to add/substract the self-energy, and carry out the final cutoff evaluation, which leads to the charge-neutralized potential given in (5.13). If I understand correctly, this would be the final formula as suggested by Wolf (find Screenshot of 5.13 attached). Probably I am mistaken, but evaluating the energies with the formula E_i as it is in the documentation would be a modification to the Wolf method and correspond to simply truncating the Coulomb energy without any damping/shifting as you can combine the two terms and you are left with q_i * q_j / r_ij.
Therefore, I think that the sentence bellow the formula in the documentation,
“This potential is essentially a short-range, spherically-truncated, charge-neutralized, shifted, pairwise 1/r summation.”
actually refers to (5.13) in the Wolf paper.
My apologies if I am missing something. I would highly appreciate if someone could clarify this.
Thanks a lot,
Peter

Hello,
Yes, LAMMPS calculates energy like eq. 5.13 in Wolf paper. Actually, the LAMMPS manual explains shortly the source of the Wolf method (“With a manipulation of adding and substracting…” in the same paragraph that you quoted), but doesn’t give the final formula that you found in Wolf paper.
Xavier
Xavier, thanks for the quick and helpful reply!
May I suggest adding the final equation (5.13) to the documentation after the paragraph explaining its derivation from the initial formula for E_i? I would be happy to do that myself if nobody else wants to do it.
Best wishes,
Peter
I think the current equation for Wolf in the doc page is good enough
because it is simple and concise and it is consistent with all other
equations, i.e., equations for coul/cut, coul/debye and coul/dsf.
Ray
Thanks for your comment, Ray.
I don’t agree with you. Actually, I don’t think it is a question of “precise and consistent” but “correct or not correct”. The documentation of the Wolf-Method is just not right at the moment. It says
“Style coul/wolf computes Coulombic interactions via the Wolf summation method, described in Wolf, given by: …”
However, the formula is just the standard Coulomb interaction multiplied by unity (erfc(x)+erf(x)=1). It is not meaningful and nowhere to find in the cited paper! Also from the subsequent paragraph it is not at all obvious that LAMMPS does actually use a different formula to the one given in the documentation. I mean, if you want the documentation to be concise, then why not simply show (5.13) without any explanation of how to get there from a different (in my opinion wrong) starting point?
Peter
Equation 5.13 is derived from the doc page equation, with a
manipulation of adding and subtracting a self energy term. The doc
page equation is the general form and is just as correct as Eq. 5.13.
However, if you really want to make the change, I would be happy to
include your contribution of the equation.
Thanks,
Ray
Hi Ray,
thanks again for your message. My point is that (5.13) is not really derived from the doc page equation. You could derive it from the doc page equation, if you removed “r < r_c”. Then it would be equivalent to (5.1) and lead to (5.13) with the comments in the paragraph and the paper in the back of your mind.
I will try to modify the paragraph and send you a draft.
Thanks,
Peter