Dear users of Lammps
What is potential in lammps that models this potential

My greetings
Dear users of Lammps
What is potential in lammps that models this potential

My greetings
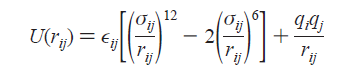
this is lennard-jones with coulomb.
axel.

oh, and watch out for the definition of sigma. this formulation of lennard-jones uses a different convention for sigma (minimum of the potential) from what LAMMPS uses (potential is zero). you can tell the difference from the 2 in front of the 6th power term. those two sigma values differ by a factor of 2^(1/6).
axel.
