Hello,
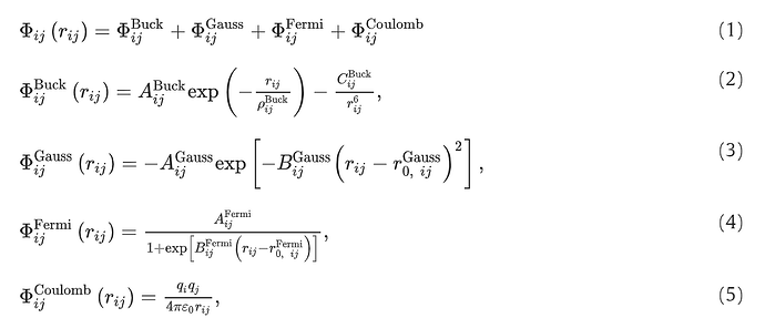
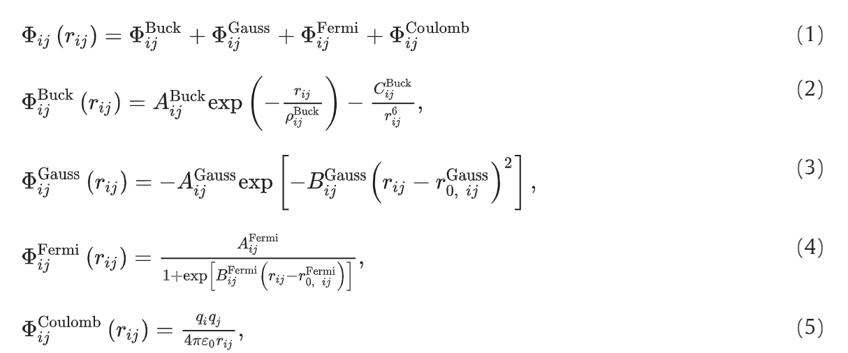
I want to use lammps to simulate Y-dopped ZrO2. The potential I found consists of 3 short range potentials of (Buckingham, inverted Gaussian, and Fermi-Dirac) and one columbic long range potential (attached the formulas).
I have previously used buckingham+columbic potential. but I can not find suitable potential setting. In the paper they have mentioned they used LAMMPS to run MD. I could not find any potential setting to include the inverted gaussian and fermi-dirac.
I guess I should modify the src files, but I do not know which files I should modify to add inverted gaussian and fermi-dirac to the buckingham+columbic potential pair_style defined originally in lammps. Can you please tell me how should I do so?
If this is a proper publication, it should provide details about how LAMMPS was used. Having custom pair styles is one option, using pair style table is another. Only the authors of said publication can tell you, if the information is missing in the publication (which in turn puts a big question mark on the quality of that publication).
